永续合约DEX赛道新局:下一个Aster能否诞生?
2025-09-21 16:03 loading...
热门新市场不会只有一两个赢家。
在加密市场的诸多叙事中,永续合约 DEX 无疑是近期最具赚钱效应的赛道。Aster(ASTER)在 TGE 后最高涨幅接近 6000%,Avantis(AVNT)在登陆 Binance Alpha 后也录得 155% 的高点。就在今天,永续合约 DEX 赛道更是出现普涨行情,这些项目的表现不仅验证了市场对该赛道的关注度,也体现出资金对“新叙事”的敏感反应。表面上看,Hyperliquid 依旧稳坐头部,但从 Aster 与 Avantis 的成功可以看出,差异化定位与创新机制依然能够为后来者打开突破口。
本文将聚焦几家最具潜力的新秀 PerpDEX,对其模式、竞争优势与空投策略进行拆解,尝试回答一个核心问题:永续合约 DEX 赛道,还能诞生下一个 Aster 吗?
Hyperliquid 的永续合约单日成交量长期维持在 80–100 亿美元之间,未平仓合约(OI)总量超过 150 亿美元,几乎是市场上第二大 PerpDEX 的 15 倍。
成交量/OI 比值常被用来识别刷量行为。Hyperliquid 的比值大约在 0.55,这属于极为健康的水平,表明交易活动具有较强的有机性。
得益于强劲的成交量与 OI,协议收入同样非常可观。但 Hyperliquid 并没有将这些费用据为己有,而是将 99% 的挂单/吃单手续费收入全部用于 HYPE 回购。此外,平台不收取清算费用。
平均每天,Hyperliquid 会根据交易量回购 200–300 万美元的 HYPE。迄今为止,协议累计回购规模约 18 亿美元,其中 6.3 亿美元已实际花在回购上,净利润约 11.7 亿美元。
这种与基本面高度绑定的大规模回购,很快成为 Hyperliquid 构筑护城河的核心手段。
USDH:即将由原生市场推出,成为 HYPE 的又一收入来源。
HIP-3:最大潜在催化剂。它允许任何人通过质押 100 万美元可被削减的 HYPE 来竞标市场并部署新资产。
这将进一步扩展 Hyperliquid 的资产覆盖面,推动更多成交量与回购,形成买压-成交量-收入的飞轮效应,从而放大 HYPE 的效用。
不过,围绕这一模式也有一些争议:
如果 EdgeX 在宽限期内(通常为 1–2 周)未能处理用户的提款请求,用户也可以发起强制提款。
首先,用户可以将自己的 Stark Key 注册到某个 L1 地址,然后直接向以太坊提交提款请求。如果请求被忽视,用户就可以通过 Merkle 证明直接退出。
最后需要强调的是,EdgeX 从不托管用户资金。资金始终保存在以太坊合约中,只有用户自己的签名才能移动它们。
参与动机
所有人都喜欢杠杆。它既能带来肾上腺素的刺激,又能在牛市中放大资金效率。 在 Hyperliquid 出现之前,链上永续合约交易所(PerpDEX)早已有过尝试,最具代表性的就是 dYdX 和 GMX。那是人们第一次真正看到 PerpDEX 潜力的时刻。 时间来到到今天,Hyperliquid 已经成为赛道的绝对主角。其永续合约交易量占 CEX 永续合约的比例已达 5.3%,相当于蚕食了 Bybit 27% 的交易量,以及 Binance 最高 11% 的交易量。这背后的成功因素有很多,我稍后会逐一展开。 虽然很多人认为 Hyperliquid 已经垄断了 PerpDEX,但我始终相信,挑战者从未消失。历史一再证明:从苹果对三星,到小米的突围,只要能在某个细分市场找到差异化优势,就有可能成为强劲的竞争者。 因此,“PerpDEX 空投季“的到来几乎是必然的。为什么? 首先,Hyperliquid 的空投本身就是史上最大规模之一。他们将 31% 的代币分发给用户,起始市值约为 30 亿美元。所有早期支持者几乎都赚得盆满钵满,而这种“财富效应”正是 Hyperliquid 能迅速占领用户心智的关键原因之一。 如今,绝大多数用户和流动性提供者对新兴 PerpDEX 都抱有类似的期待。为了博得关注和粘性,新项目往往不得不采取更激进或更巧妙的空投策略。无论形式如何,这都意味着我们已经步入一个新的“PerpDEX 空投季”。 不过,需要说明的是,这篇讨论并非关于空投本身,而是想聚焦于我眼中最具潜力的新秀 PerpDEX。希望在读完之后,你能更清晰地判断:该选择哪一个 PerpDEX 去使用。内部对比
先放一张表总结:
来源:Perpetual Pulse、Hyperliquid 数据、Defillama、@andyandhii、@hansolar 21、@ruiixyz
接下来我会逐点展开以下核心要点: Hyperliquid:- 基于 L1,采用 CLOB(集中化订单簿)模型
- 对大户极为友好的流动性深度
- 99% 收入回购
- Speedbump 机制,让做市商竞争环境更公平
- 支持 180+ 交易对,并提供盘前市场交易机制
- HyperEVM 与 Buildercode 增长良好
- HIP-3 提案与 USDH 稳定币被视为关键催化剂
- 基于 L2,同样采用 CLOB
- 零手续费
- 提供更高的 LP 收益
- 背靠 a 16 z 与 Lightspeed,由前 Citadel 高频交易员领导
- 营销打法以节点任务与造势为核心
- 自定义 ZK 电路,并设计了退出保障机制
- 基于 L2 StarkEx,同样采用 CLOB
- 面向普通用户,提供最小的价差
- 原生移动端体验(尤其符合亚洲用户的偏好)
- 收益表现强劲,更少依赖挖矿,且交易量/未平仓合约比值更低
- 背后有专业做市商支持,团队经验丰富
Hyperliquid:巨头护城河已成
Hyperliquid 是当前全球最成功的永续合约去中心化交易所(PerpDEX)。 它最广为人知的,是其双层架构:Hypercore 与 HyperEVM。 目前,Hyperliquid 占据了超过 78% 的 PerpDEX 市场份额,背后有几个关键原因:最佳深度 + Speed Bump 机制保护大户
参考 @andyandhii
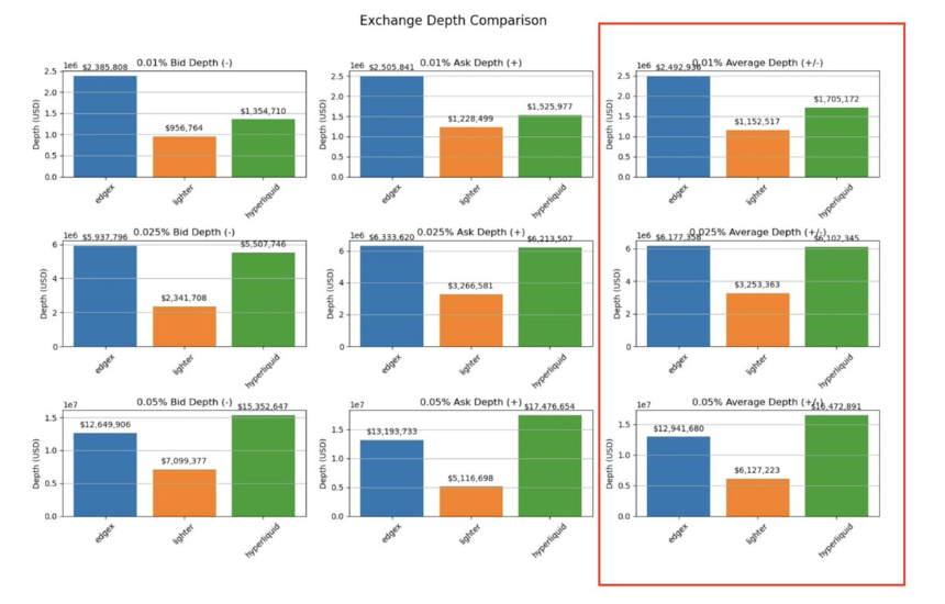
对于交易者来说,深度与价差至关重要。更小的价差与更深的流动性,意味着更优的报价和更小的滑点。 以 BTC 交易对为例,@andyandhii 在一次测试中使用来自 Lighter、EdgeX 与 Hyperliquid Websocket 的 1 小时数据进行对比。 结果显示,Hyperliquid 在处理超过 1600 万美元的大额订单时仍能保持深度,而在 600 万美元订单规模下的表现与 EdgeX 相当。这充分说明,Hyperliquid 的确是大户交易的最佳场所。 造成 Hyperliquid 拥有更深流动性的原因之一,是其区块构建时的“优先撤单”机制。通过在吃单订单上引入 210 毫秒延迟,系统保护了“稍晚”的做市商,避免其因延迟劣势被竞争对手“抢跑”。这样一来,更多做市商有动力留在平台并持续提供流动性。 虽然外界对“鲸鱼被抢跑”仍有争议,但我认为这种透明性实际上带来了更多的公开性,甚至在 James Wyne 等交易员效应下强化了网络效应。强劲的收入回购 + 健康的成交量/OI 比值
Hyperliquid 的永续合约单日成交量长期维持在 80–100 亿美元之间,未平仓合约(OI)总量超过 150 亿美元,几乎是市场上第二大 PerpDEX 的 15 倍。
成交量/OI 比值常被用来识别刷量行为。Hyperliquid 的比值大约在 0.55,这属于极为健康的水平,表明交易活动具有较强的有机性。
得益于强劲的成交量与 OI,协议收入同样非常可观。但 Hyperliquid 并没有将这些费用据为己有,而是将 99% 的挂单/吃单手续费收入全部用于 HYPE 回购。此外,平台不收取清算费用。
平均每天,Hyperliquid 会根据交易量回购 200–300 万美元的 HYPE。迄今为止,协议累计回购规模约 18 亿美元,其中 6.3 亿美元已实际花在回购上,净利润约 11.7 亿美元。
这种与基本面高度绑定的大规模回购,很快成为 Hyperliquid 构筑护城河的核心手段。
超过 180 个交易对 + (盘前)Pre-Market 上市
过去三个月,Hyperliquid 新增了 11 个交易对,平台总量已超过 180+。相比之下,Binance 同期(含 Alpha 上市)仅新增约 60 个。 很明显,盘前交易已成为争夺早期交易量的关键战场,而 Hyperliquid 在这一点上投入颇深。近期如 XPL、Pump、WLFI 等盘前市场上线,就分别为平台带来了数百万美元的成交量、OI 与资金费率收入。 当然,盘前也伴随风险。若有人在链上或 Hyperliquid 上买断所有可用流动性,再通过放大杠杆来触发清算,就可能导致低成本、高影响的操纵。因此,对流动性较差交易对的风险管理尤为重要。增长引擎:HyperEVM、Buildercode、USDH 与 HIP-3
除了 Hypercore,Hyperliquid 的另一大优势在于其不断扩张的生态系统。 HyperEVM:相当于 HYPE 的杠杆。生态内所有 dApp 都在不同程度上与 HYPE 挂钩,从而提升其效用。目前 HyperEVM 的 TVL 已达 26 亿美元,生态中已有近 100 个项目。 Buildercode:开发者可以通过在 Hyperliquid 上构建应用分享手续费。目前已有 @phantom、@BasedOneX、@pvp_dot_trade 等接入,至今累积创造超过 2300 万美元收入。这一机制有效激励了开发者,进一步放大了 Hyperliquid 的流动性与网络效应。
USDH:即将由原生市场推出,成为 HYPE 的又一收入来源。
HIP-3:最大潜在催化剂。它允许任何人通过质押 100 万美元可被削减的 HYPE 来竞标市场并部署新资产。
这将进一步扩展 Hyperliquid 的资产覆盖面,推动更多成交量与回购,形成买压-成交量-收入的飞轮效应,从而放大 HYPE 的效用。
Hyperliquid 的亮点总结
- 先发优势
- DeFi 历史上最大规模的空投之一(31% 分配给持有人)
- HYPE 交易的最核心场所
- 对 1500 万美元以上 BTC 交易最深的流动性支持
- PerpDEX 中最多交易对、最快速的盘前市场上市机制
- 不断扩张的 HyperEVM + Buildercode 生态
- HIP-3 成为市场拓展与收入增长的重要催化剂
- 99% 的收入用于回购
Lighter:零手续费冲击市场
强力资本支持
Lighter 在 2023 年获得了 a 16 z、Lightspeed、Coatue 等机构的早期投资。项目最初定位为现货 DEX,后来转型为永续合约 DEX。团队由前 Citadel 高频交易员 @vnovakovski 领导。
零手续费策略
为了从 Hyperliquid 手中抢占市场份额,Lighter 推出了挂单/吃单全免手续费的模式。 这成为其最具杀伤力的功能之一:吸引了大量交易者和做市商迁移,从而推高了平台成交量。理论上,对交易者和做市商双方都有利(但对平台本身未必如此)。 在常规交易下,平台表现尚可,但在大额交易的流动性深度上,仍略逊于 Hyperliquid。
不过,围绕这一模式也有一些争议:
- 由于完全零手续费,成交量/OI 比值高达 ~3.5,约是 Hyperliquid 的 7 倍,这可能意味着存在较高比例的刷量行为。
- 为了应对这一问题,Lighter 引入了自成交防护机制,希望能抑制女巫攻击。
自定义 ZK 电路与“退出保障”
作为一个基于 zk-rollup 的协议,Lighter 天然继承了以太坊的安全性。 在此基础上,团队还构建了一套自研的零知识电路(ZK circuits),并引入了一种名为订单簿树(order book tree)的数据结构。这一设计能够在不牺牲执行速度的前提下,高效验证撮合与清算的完整性。 为了降低交易延迟,Lighter 采取了“预承诺 + 批处理证明”的模式:Sequencer 会先对交易进行签名,并将结果发布到公共数据源,从而让用户快速获得“准最终性”。随后,系统再以批处理的方式生成零知识证明(zk proofs)。这样一来,交易执行不会因为等待证明而被拖慢,因为执行依赖的是 Sequencer 的预签名(pre-commitments)。 此外,Lighter 还设计了一个独立的安全电路:当用户能够证明某个证明与此前的预承诺不一致时,就可以触发“退出”,将资金安全取回到 L1。这套退出保障(exit guarantee)机制,为用户提供了额外的资金安全兜底。积分计划与市场热度
近期,围绕 Lighter 积分的讨论在加密推特上持续升温。 有截图显示,积分在 OTC 市场的成交价约为 33 美元/点,累计成交额已达 36.3 万美元。由于尚未披露积分的总供应量,目前难以给出合理的代币估值。但我们可以参考 Hyperliquid 的路径:彼时,Hyperliquid 向社区空投了 30% 的代币,上线时的估值约为 30 亿美元。如果 Lighter 采取类似的分配策略,那么其整体估值大概率也会在≥30 亿美元这一档次。 虽然空投的最终估值仍然存在高度不确定性,但有一点可以确认:积分的投机交易,已经成为推动 Lighter 成交量和未平仓合约(OI)增长的重要驱动力之一。
Lighter 的亮点总结
- 零手续费
- 提供最高 LLP 收益
- 获得 a 16 z、Lightspeed 等机构背书
- 自研 ZK 电路,实现可验证且快速的撮合交易
- OTC 积分交易带动市场热度
EdgeX:散户友好型新势力
更小的价差与更适合普通交易者的深度
如果说 Hyperliquid 是巨鲸的主场,那么 EdgeX 则在 600 万美元以下的交易规模(以 BTC 为例)上展现出更优的深度——而这,恰恰覆盖了绝大多数普通交易者的实际区间。 对于散户而言,这样的流动性不仅意味着能够在下单时获得更好的价格,还能在 EdgeX 上进一步参与挖矿或收益活动,兼顾交易体验与额外回报。
高营收 + 积分计划(尚无原生代币)
尽管 EdgeX 尚未发行原生代币,但它已经成为 Defillama 收录的第二大营收 PerpDEX,过去 30 天实现了约 1800 万 – 2000 万美元营收(大约是 Hyperliquid 的 5%)。 这些收入来自挂单费(0.015%)、吃单费(0.038%)以及清算费用,并且在过去三个月呈现稳步增长。 EdgeX 的积分计划仍在进行中,其成交量/OI 比值约为 2.3,说明存在一定程度的刷量,但并不严重。
基于 StarkEX 的永续合约与强制提款
EdgeX 使用 StarkEX 永续合约,实现无信任结算和抗审查功能(如强制提款)。 由于其运行在二层,用户的交易先在链下执行,随后提交至 StarkEx 生成证明,最终在以太坊结算。这既保证了交易的完整性,也保证了可验证性。
如果 EdgeX 在宽限期内(通常为 1–2 周)未能处理用户的提款请求,用户也可以发起强制提款。
首先,用户可以将自己的 Stark Key 注册到某个 L1 地址,然后直接向以太坊提交提款请求。如果请求被忽视,用户就可以通过 Merkle 证明直接退出。
最后需要强调的是,EdgeX 从不托管用户资金。资金始终保存在以太坊合约中,只有用户自己的签名才能移动它们。
移动端优先体验
在亚洲市场,移动端体验是需求最高的功能之一。 目前大多数交易者通过 OKX Wallet 或 Phantom 访问 Hyperliquid 或 Lighter,而 EdgeX 简化了这一流程,推出了原生移动应用(已在 App Store 上架),让用户可以随时随地便捷交易。 以下是应用界面:
Amber 支持的团队
EdgeX 由 Amber Group 孵化,后者是亚洲知名的做市商。其团队成员包括来自高盛、Jump Trading 的前专业人士。 根据官网,核心贡献者包括@EdgeX_KF 与 @EdgeX_TraderX,同时@ZoomerOracle 也是其合作伙伴。EdgeX 的亮点总结
- 高营收
- 在 600 万美元以下的交易中,拥有更紧的价差和更好的深度
- 由 Amber 孵化
- 在亚洲市场有强大影响力
- 基于 StarkEx,支持强制提款
- 原生移动端交易体验
- 正常的成交量/OI 比值(未被严重刷量)
结论
永续合约 DEX 已经成为加密市场增长最快的赛道之一。 正如前文所提到的,Hyperliquid 凭借先发优势与持续创新,早已领先大多数新兴对手两个身位,并且仍在不断拓展护城河。HYPE 通过 Buildercode、快速上新交易对、深厚的流动性、不断扩张的生态,以及与金融科技的合作,逐步构建起一个高度一体化的系统,使用户能够在同一平台上完成几乎所有操作。 对于新兴的永续合约 DEX 来说,要想真正突围,就必须让产品对所有类型的交易者都具备足够吸引力。这往往意味着,它们需要在 Hyperliquid 的“轨道”之外寻找新的突破口。 更紧的价差、零手续费、更顺畅的移动端体验、保证金的额外收益、更好的可访问性,甚至是积分计划等货币化激励,都是吸引用户加入并长期留下的潜在理由。 但与任何项目一样,真正的考验会在 TGE 之后才开始。只有到那时,我们才能从 OI、交易量与协议收入的表现中,看到其粘性是否经得起市场的检验。 空投是一把双刃剑:执行不佳可能会成为致命一击,而一次成功的(往往是未被过度挖矿的)空投,则可能以闪电般的速度带来真实的用户牵引力,并启动只有真正产品才能驱动的正循环。 市场永远会留给“最强的第二名”一席之地。 而这一切,可能会很快发生。
声明:文章不代表比特之家观点及立场,不构成本平台任何投资建议。投资决策需建立在独立思考之上,本文内容仅供参考,风险自担!转载请注明出处!侵权必究!
相关阅读
-
CoinDesk 20指数上涨0.4% 比特币价格走势小幅回落比特币资讯 2025-12-29 22:35
-
贵金属领涨比特币滞涨?资金轮动信号浮现区块链资讯 2025-12-29 22:27
-
Michael Saylor再购1.09亿美元比特币,巩固长期持有策略区块链资讯 2025-12-29 22:26
-
未来资产拟收购Korbit 持牌交易所成韩国合规入口区块链资讯 2025-12-29 22:26
-
比特币价格走势转向稳健增长 市场进入新周期阶段区块链资讯 2025-12-29 22:26
-
白银暴跌引连锁反应 比特币价格走势成避险新焦点区块链资讯 2025-12-29 22:26
-
Strategy公司购入1229枚比特币,比特币价格走势影响股价表现比特币资讯 2025-12-29 22:21
-
英特尔向英伟达出售50亿美元股票 深化AI芯片合作比特币资讯 2025-12-29 20:36
-
美联储变局前夜:特朗普或改写利率格局比特币资讯 2025-12-29 20:35
-
白银冲高至84美元,比特币价格走势仍显疲软区块链资讯 2025-12-29 20:28