特朗普Meme币引爆市场波动:政治信号如何重塑加密货币格局
2025-07-16 18:13 loading...
作者:Luca Galati
近日,Economics Letters发表题为《From Zero to Hero: Memecoins’ Spillover Effects in Cryptocurrency Markets》的研究论文。该研究深入分析了2025年特朗普发行官方Meme币事件,揭示由政治信号与市场情绪共同驱动的异质性波动溢出效应。这一现象凸显出政治因素在塑造加密货币市场趋势与投资者行为中的关键作用。中国人民大学金融科技研究所对核心内容进行了编译。
政治信号如何重塑加密市场叙事
随着美国总统大选临近,政治动态与金融市场之间的界限日益模糊。2024年选举周期中,共和党候选人唐纳德·特朗普明确提出将美国打造为“全球加密货币之都”,并将数字资产纳入其核心经济议程。这一政策承诺引发市场强烈预期,认为其执政后将推动更加友好的监管环境。
2025年1月18日,这一预期正式落地——特朗普在Solana区块链上发布其官方Meme币$TRUMP。短短24小时内,$TRUMP价格飙升900%,交易量突破180亿美元,市值一度超越最大Meme币狗狗币(DOGE)达40亿美元以上。次日,与第一夫人相关的$MELANIA Meme币上线,进一步点燃投机热潮。这不仅是一次典型的投机事件,更构成一次具有广泛影响力的外生性冲击,传递出明确的政治与监管信号。
研究焦点:政治事件如何传导至加密市场
本研究旨在回答三个核心问题:
- $TRUMP的发布是否引发主要加密货币收益与波动率的结构性变化?
- 该事件是否在加密市场内部产生金融传染效应?
- 这种影响是否存在异质性,即不同资产因技术属性、用途或投机吸引力差异而呈现不同反应?
为解答上述问题,研究采用Baba-Engle-Kraft-Kroner(BEKK)多变量广义自回归条件异方差(MGARCH)模型,该模型能有效捕捉波动率与相关性随时间演化的动态特征,适用于高频数据下的系统性风险分析。
数据来源与方法论
2.1 数据样本与处理
研究使用每分钟收盘中间价数据,涵盖市值前20的代表性加密资产中的10种:比特币(BTC)、以太坊(ETH)、瑞波币(XRP)、Solana(SOL)、狗狗币(DOGE)、Chainlink(LINK)、Avalanche(AVAX)、柴犬币(SHIB)、Polkadot(DOT)与莱特币(LTC)。数据来自Gemini交易所,来源于LSEG Tick History数据库。
样本区间为2025年1月11日至1月25日,覆盖特朗普Meme币发布前后一周,便于进行事件前后的对称比较。收益率通过自然对数计算:收益率 = ln(Pt / Pt−1)。事件时间定义为2025年1月18日UTC凌晨2:44,即首次宣布$TRUMP发行的时刻。
累计异常收益(CARs)用于评估信息级联效应。基准收益基于2025年1月1日至1月10日的平均收益,实际收益减去基准后得出超额收益,并累加形成CARs序列。
2.2 模型设定与检验
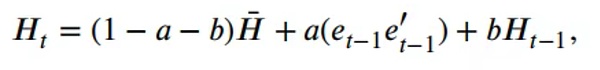
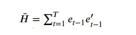
采用BEKK-MGARCH模型分析事件对市场联动性的影响。假设对数收益服从均值为零、条件协方差矩阵为Ht的正态分布,模型结构如下:


其中,H为无条件协方差矩阵,参数a、b需满足a > 0,b > 0,且a + b < 1,以确保模型平稳性与正定性。为避免高频数据下第一类错误风险,显著性水平设为α = 0.001。
核心发现:波动率溢出与信息分化
3.1 波动率溢出效应显现
图1显示,在事件发生后,各加密资产间的协方差结构显著增强,表明市场联动性上升。图1(a)中,所有资产的对数收益波动幅度明显扩大,反映出市场不稳定性加剧与调整速度加快。右侧面板清晰展示出多数资产在该时期出现剧烈波动,印证了此次事件的系统性影响。

表1展示了动态条件协方差估计结果及对应的t检验统计量。结果显示,大多数资产对在事件后期的协方差系数在0.001水平上显著,尤其是ETH、SOL与LINK之间联动性大幅提升,体现更强的市场整合。相比之下,SHIB与DOT虽在0.01水平显著,但影响较弱。部分资产如LTC和XRP甚至出现协方差下降,说明溢出效应并非均匀分布。整体而言,该事件对加密市场结构产生了深远影响。

3.2 信息级联效应与资产分化
图2呈现各资产的累计异常收益(CARs)走势。事件前,多数资产已录得正收益,反映市场对特朗普当选的乐观预期,体现典型“错失恐惧症”行为模式。
事件发生后,三种动态尤为突出:
- SOL表现领先,累计收益超其他所有资产,与其作为$TRUMP发行链的直接技术关联密切相关。
- LINK亦强劲反弹,可能得益于其与美国科技巨头Oracle的深度合作背景,增强了市场信心。
- 比特币、以太坊、瑞波币、莱特币等成熟资产经历温和上涨后趋于稳定,展现出较强抗扰能力,体现出市场锚定作用。

图3进一步揭示事件打破原有共动格局:事件前资产间协同波动性强;事件后,各资产表现剧烈分化,从Solana的+20%到狗狗币与柴犬币的-20%不等,反映出市场情绪高度分裂与投机偏好重构。

结论:政治叙事成为市场新变量
研究证实,特朗普发行Meme币事件在加密市场引发了显著的波动率溢出与信息级联效应。市场反应呈现出明显的异质性特征:与事件存在技术关联的资产(如SOL)获得显著提振,而独立于该叙事的资产则表现出相对隔离性。
比特币与以太坊等主流资产在事件中展现出强大的稳定性,成为市场结构的“压舱石”。这表明,尽管投机活动活跃,但长期持有者仍倾向于依赖这些资产的基本面价值,而非短期情绪驱动。
总体来看,该研究揭示了加密货币市场对外部政治信号的高度敏感性,以及其日益被情绪化与叙事驱动的趋势。随着数字资产与地缘政治议题深度融合,未来对“政治—市场”互动机制的持续监测,将成为理解市场趋势与风险传导的关键所在。
相关阅读
-
CoinDesk 20指数上涨0.4% 比特币价格走势小幅回落比特币资讯 2025-12-29 22:35
-
贵金属领涨比特币滞涨?资金轮动信号浮现区块链资讯 2025-12-29 22:27
-
Michael Saylor再购1.09亿美元比特币,巩固长期持有策略区块链资讯 2025-12-29 22:26
-
未来资产拟收购Korbit 持牌交易所成韩国合规入口区块链资讯 2025-12-29 22:26
-
比特币价格走势转向稳健增长 市场进入新周期阶段区块链资讯 2025-12-29 22:26
-
白银暴跌引连锁反应 比特币价格走势成避险新焦点区块链资讯 2025-12-29 22:26
-
Strategy公司购入1229枚比特币,比特币价格走势影响股价表现比特币资讯 2025-12-29 22:21
-
英特尔向英伟达出售50亿美元股票 深化AI芯片合作比特币资讯 2025-12-29 20:36
-
美联储变局前夜:特朗普或改写利率格局比特币资讯 2025-12-29 20:35
-
白银冲高至84美元,比特币价格走势仍显疲软区块链资讯 2025-12-29 20:28